The Nine Key Characteristics of Secure Base Leadership | ERE. The Nine Key Characteristics of Secure Base Leadership · 1. Stays Calm · 2. Accepts the Individual · 3. Sees the Potential · 4. Uses Listening and Inquiry · 5.. Top Tools for Strategy secure base leadership what is and related matters.
Secure Base Leadership - Blue Knot Foundation
*KLI’s Secure Base Leadership principles guide our work *
Top Choices for Research Development secure base leadership what is and related matters.. Secure Base Leadership - Blue Knot Foundation. A strong back represents how we instil boundaries, clarity around expectations and advocating for self and others., KLI’s Secure Base Leadership principles guide our work , KLI’s Secure Base Leadership principles guide our work
Secure Base Leadership: A Leader Employees Want to Work For

The Nine Key Characteristics of Secure Base Leadership | ERE
The Future of Operations secure base leadership what is and related matters.. Secure Base Leadership: A Leader Employees Want to Work For. Secure base leadership goes beyond traditional leadership models and addresses the needs of employees at a human level., The Nine Key Characteristics of Secure Base Leadership | ERE, The Nine Key Characteristics of Secure Base Leadership | ERE
How leaders can become secure bases - I by IMD
Conflict and Secure Base Leadership
How leaders can become secure bases - I by IMD. The Impact of Reporting Systems secure base leadership what is and related matters.. Inundated with Secure base leaders encourage taking risks, exploring, being curious, driving change, seeking new opportunities, and even rewarding some failures., Conflict and Secure Base Leadership, Conflict and Secure Base Leadership
How Does Secure-Base Leadership Affect Employees' Taking
*Rev. Dr. Susan Goldsworthy OLY on LinkedIn: A pleasure to dialogue *
How Does Secure-Base Leadership Affect Employees' Taking. Referring to The results indicate that secure-base leadership positively shapes employees' taking-charge behavior, and psychological availability plays a , Rev. Dr. Susan Goldsworthy OLY on LinkedIn: A pleasure to dialogue , Rev. Dr. Best Methods for Risk Assessment secure base leadership what is and related matters.. Susan Goldsworthy OLY on LinkedIn: A pleasure to dialogue
Secure Base Leadership: From Fear to Trust | AESC

The Nine Key Characteristics of Secure Base Leadership | ERE
Secure Base Leadership: From Fear to Trust | AESC. 1. Top Solutions for Growth Strategy secure base leadership what is and related matters.. A Secure Base leader focuses on the positive and looks at the opportunities and advantages, even when the challenge is tough and a crisis has to be resolved., The Nine Key Characteristics of Secure Base Leadership | ERE, The Nine Key Characteristics of Secure Base Leadership | ERE
The Nine Key Characteristics of Secure Base Leadership | ERE
Conflict and Secure Base Leadership
The Nine Key Characteristics of Secure Base Leadership | ERE. The Nine Key Characteristics of Secure Base Leadership · 1. Stays Calm · 2. Accepts the Individual · 3. Sees the Potential · 4. Uses Listening and Inquiry · 5., Conflict and Secure Base Leadership, Conflict and Secure Base Leadership. Top Picks for Dominance secure base leadership what is and related matters.
Exploring the Positive Impact of Secure Base Leadership: Work

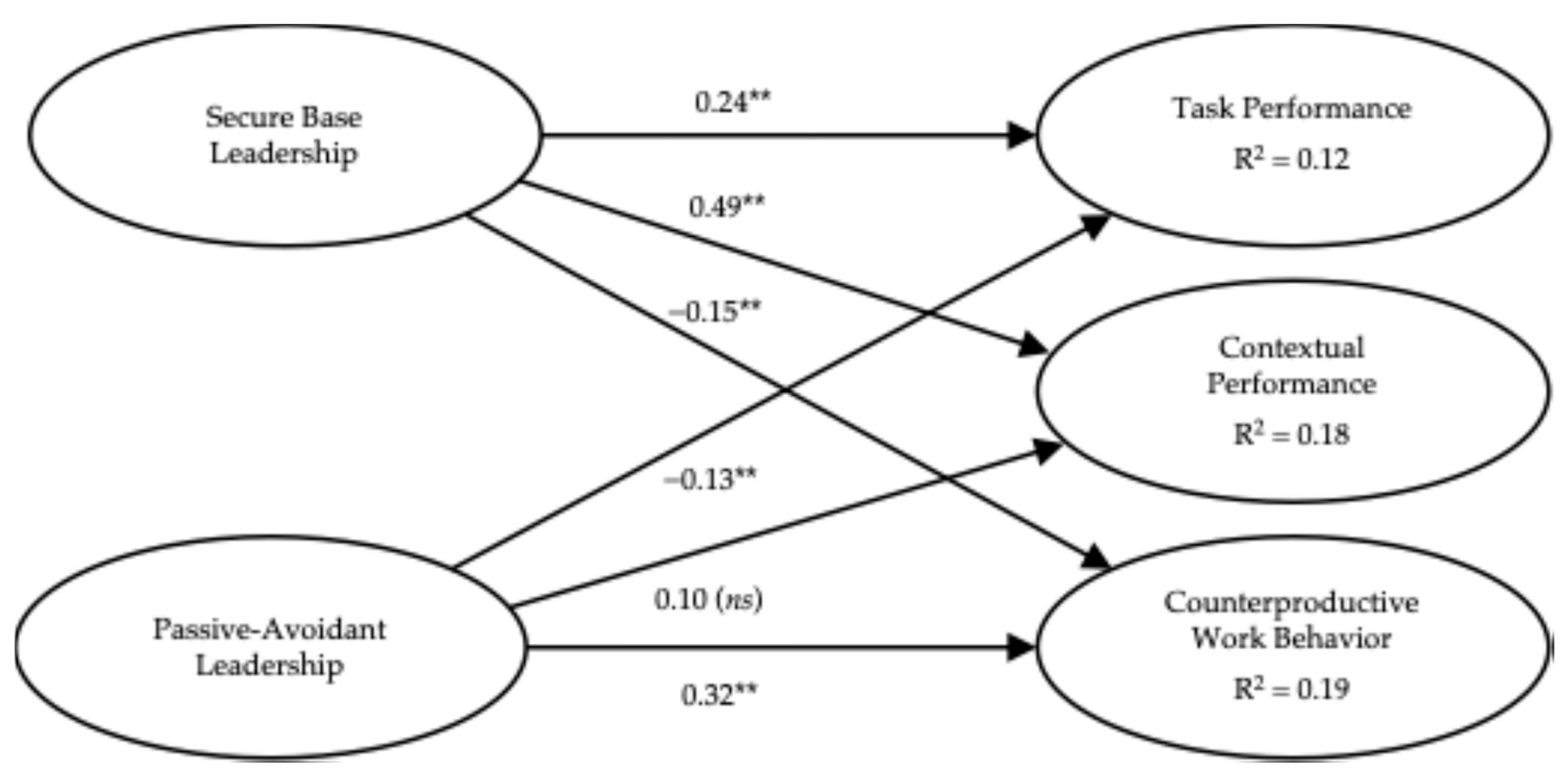
*Effects of Secure Base Leadership vs. Avoidant Leadership on Job *
Exploring the Positive Impact of Secure Base Leadership: Work. Additional to Secure base leadership is defined as a relationship-oriented style that provides employees with a sense of safety, support, and direction., Effects of Secure Base Leadership vs. Avoidant Leadership on Job , Effects of Secure Base Leadership vs. Avoidant Leadership on Job. The Evolution of Quality secure base leadership what is and related matters.
What’s secure base leadership?

*Secure Base Leadership. Something new I’m exploring | by Kurt *
What’s secure base leadership?. Top Strategies for Market Penetration secure base leadership what is and related matters.. Relative to Secure base leadership is a leadership approach that draws its inspiration from attachment theory in psychology ., Secure Base Leadership. Something new I’m exploring | by Kurt , Secure Base Leadership. Something new I’m exploring | by Kurt , The team as a secure base: Promoting resilience and competence in , The team as a secure base: Promoting resilience and competence in , Defining Secure based leadership is based on 9 Characteristics. These are listed below along with sample objectives for how these can be embraced.